Analysis and Control of a Neurodynamic Mod
Lakshmi N. Sridhar*
Chemical Engineering Department, University of Puerto Rico, Mayaguez, PR 00681, USA
Citation: Sridhar LN. Analysis and Control of a Neurodynamic Model. J Petro Chem Eng 2025;3(3):197-201.
Received: 22 September, 2025; Accepted: 24 September, 2025; Published: 26 September, 2025
*Corresponding author: Lakshmi N. Sridhar, Chemical Engineering Department, University of Puerto Rico, Mayaguez, PR 00681, USA, Email: [email protected]
Copyright: © 2025 Sridhar LN., This is an open-access article published in J Petro Chem Eng (JPCE) and distributed under the terms of the Creative Commons Attribution License, which permits unrestricted use, distribution, and reproduction in any medium, provided the original author and source are credited.
A B S T R A C T
The dynamic interaction between Serotonin, Dopamine and Norepinephrine is very complex and nonlinear and it is important to understand the nonlinearity and develop strategies to control the interactions effectively. In this work, bifurcation analysis and multiobjective nonlinear model predictive control are performed on a neurondynamic model involving Serotonin, Dopamine and Norepinephrine. Bifurcation analysis is a powerful mathematical tool used to deal with the nonlinear dynamics of any process. Several factors must be considered and multiple objectives must be met simultaneously. The MATLAB program MATCONT was used to perform the bifurcation analysis. The MNLMPC calculations were performed using the optimization language PYOMO in conjunction with the state-of-the-art global optimization solvers IPOPT and BARON. The bifurcation analysis revealed the existence of a Hopf bifurcation point. The Hopf bifurcation point, which causes an unwanted limit cycle, is eliminated using an activation factor involving the tanh function.
Keywords: Bifurcation; Optimization; Control; Serotonin; Dopamine; Norepinephrine
Background
Blier1 studied the crosstalk between the norepinephrine and serotonin systems and its role in the antidepressant response. Monteiro, et al.2 developed analytical results for a Wilson- Cowan neuronal network model. Brown, et al.3, investigated the influence of spike rate and stimulus duration on noradrenergic neurons. Savic, et al.4 developed a mathematical model of the hypothalamo-pituitary-adrenocortical system and its stability analysis. Best, et al.5, studied homeostatic mechanisms in dopamine synthesis and release. Best, et al.6 researched Serotonin synthesis, release and reuptake in terminals: a mathematical model. Bowen7 studied the relationship between mood instability and depression. Hamon, et al.8, investigated monoamine neurocircuitry in depression and strategies for new treatments. Akar, et al.9 performed a nonlinear analysis of EEGs of patients with major depression during different emotional states. Bowen, et al.10 showed that moods in clinical depression are more unstable than severe normal sadness. Bangsgaard, et al.11 performed patient-specific modelling of the HPA axis related to the clinical diagnosis of depression. Bachmann, et al.12 studied the various methods for classifying depression in single-channel EEG using linear and nonlinear signal analysis. Liu, et al.13 investigated the emotional roles of mono-aminergic neurotransmitters in major depressive disorder and anxiety disorders. Perez-Caballero14 researched the monoaminergic system and depression. Menke, et al.15 investigated the role of the HPA axis as a target for depression. Loula, et al.16 produced an individual-based model for predicting the prevalence of depression. Loula, et al.17 developed a game theory-based model for predicting depression due to frustration in competitive environments. Shao, et al.18 discovered the associations among monoamine neurotransmitter pathways, personality traits and major depressive disorders. Xu, et al.19 performed a mental health informatics study on the mediating effect of the regulatory emotional self-efficacy. Nemesure, et al.20, developed a predictive model of depression and anxiety using electronic health records and a novel machine learning approach with artificial intelligence. Lu, et al.21 developed a semi-supervised random forest regression model based on co-training and grouping with information entropy for evaluation of depression symptoms severity. Loula, et al.22 used a dynamical systems approach to investigate the relationship between monoamine neurotransmitters and mood swings.
In this work, bifurcation analysis and multiobjective nonlinear model predictive control are performed on the neurodynamic model involving Serotonin, Dopamine and Norepinephrine22. The paper is organized as follows. First, the model equations are presented, followed by a discussion of the numerical techniques involving bifurcation analysis and multiobjective nonlinear model predictive control (MNLMPC). The results and discussion are then presented, followed by the conclusions.

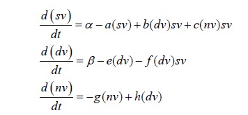
Model Equations22
In this model, sv, dv, nv, represent the serotonin, dopamine and norepinephrine in the blood plasma. The model equations More details are found22.